Nombres de Robbins
Description
Définition
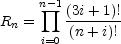
La formule
a permis à David P. Robbins (mathématicien de Princeton, dans le New Jersey) de définir une suite
Cette suite est répertoriée A005 130 dans l'encyclopédie en ligne de N. J. A. Sloane.
1,1,2,7,42,429,7436,218348,10850216,911835460,129534272700,31095744852375,
12611311859677500,8639383518297652500,9995541355448167482000 ...
dont les termes deviennent rapidement véritablement énormes et qui permet de dénombrer des objets mathématiques de différentes natures.
Cette suite est répertoriée A005 130 dans l'encyclopédie en ligne de N. J. A. Sloane.
Formule de récurrence
La formule de récurrence ci-dessous s'obtient aisément à partir de l'expression précédente, elle permet de calculer progressivement la suite R(n).
En partant de R(1)=1 on calcule successivement R(2) puis R(3), R(4) ...
En partant de R(1)=1 on calcule successivement R(2) puis R(3), R(4) ...
Termes de la suite
Résultats obtenus
Dans cette page vous pourrez connaître R(n) pour de grandes valeurs de n, à la seule condition d'attendre le temps nécessaire. (En exemple : le nombre de chiffres de R(133) est 2010).
Vous obtiendrez à la fois le nombre de chiffres de R(n), le nombre des diviseurs de R(n), l'écriture décimale et aussi l'écriture primaire de R(n).
Vous obtiendrez à la fois le nombre de chiffres de R(n), le nombre des diviseurs de R(n), l'écriture décimale et aussi l'écriture primaire de R(n).
Calculs
Deux suites dérivées
En cliquant sur les deux boutons de droite de l'application ci-dessus vous provoquerez l'affichage des suites :
Nombres de chiffres
Les nombres de chiffres des écritures décimales des R(n) sont :
1, 1, 1, 1, 2, 3, 4, 6, 8, 9, 12, 14, 17, 19, 22, 26, 29, 33, 37, 41, 46, 50, 55, 60, 66, 71, 77, 83, 89, 96, 102, 109, 117, 124, 132, 139, 147, 156, 164, 173, 182, 191, 201, 210, 220, 230, 241, 251, 262, 273, 284, 296, 307, 319, 331, 344, 356, 369, 382, 396, 409, 423, 437, 451,
Nombres de diviseurs
Les nombres de diviseurs des R(n) sont :
1, 1, 2, 2, 8, 8, 18, 36, 72, 144, 864, 1152, 4320, 8640, 18000, 28800, 77760, 172800, 168000, 217728, 396900, 322560, 3386880, 12902400, 28224000, 101606400, 365783040, 975421440, 2351462400, 2612736000, 4610390400, 16057958400, 45265651200, 60354201600, 185469419520, 413857382400, 1260971712000, 5977939968000,
Liens
Pour un premier contact, [utilisez ce formulaire] ou utilisez l'adresse de messagerie qui y figure. Merci d'indiquer la page précise du site "http//jm.davalan.org/...", cela m'aidera beaucoup. Ne joignez aucun document à votre message.
Jeux-et-Mathématiques n'est pas un site commercial. Aucun des liens placés sur ce site n'est rémunéré, ni non plus aucune des informations données.
Important : Si votre question a un quelconque rapport avec un travail personnel (Devoir TIPE Master...) , vous devez absolument me le préciser dès votre premier message et m'indiquer très précisément les limites des informations demandées. Vous devez aussi avertir la personne qui dirige éventuellement votre travail ou le corrige de cette communication et lui montrer les documents fournis.
© (Copyright) Jean-Paul Davalan 2002-2014Important : Si votre question a un quelconque rapport avec un travail personnel (Devoir TIPE Master...) , vous devez absolument me le préciser dès votre premier message et m'indiquer très précisément les limites des informations demandées. Vous devez aussi avertir la personne qui dirige éventuellement votre travail ou le corrige de cette communication et lui montrer les documents fournis.
J'essaie de répondre aux questions posées, mais ne lis pas les documents mathématiques amateurs, pas plus que je ne donne mon avis sur les démonstrations des conjectures de Collatz ou autres. Je ne lis pas les documents word, je ne corrige pas les programmes informatiques et depuis des années je n'utilise plus de tableur.

